Te listat e lidhura nyjet lidhen me nyjën pasardhëse në zinxhir njëra pas tjetrës.
Nyja që ka më shumë se një pasardhës quhet pemë.
Ky është definicion rekursiv.
Nyja fillestare quhet rrënjë.
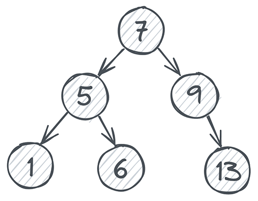
Pema që ka maksimalisht dy nyje pasardhëse quhet pemë binare.

Terminologjia e pemëve:
Lartësia e pemës është distanca më e gjatë nga rrënja deri tek një nyje gjethe.
Pema quhet e balancuar nëse:
Lartësia e pemës ka rëndësi për kërkim.
Rasti më i keq është kur i qasemi elementit më të largët.
Pema e balancuar gjithmonë garanton qasje në $O(\log n)$ sepse thellësitë janë të njëjta.
Pema e jo-balancuar në rastin më të keq shndërrohet në listë të lidhur me qasje $O(n)$.
Listat sekuenciale i kemi shëtitur me unaza. Për pemët kemi dy qasje kryesore:
Kërkimi në thellësi mund të bëhet me tri renditje:
Kjo procedurë përsëritet rekursivisht.
Pema binare njihet si pemë binare e kërkimit nëse secila nyje e saj plotëson këto dy kushte:

Detyrë: Të formohet pema binare e kërkimit nga sekuenca $5, 7, 1, 3, 4, 2, 9, 0$.
Pastaj:
Detyrë: Të implementohet pema binare e kërkimit dhe të instancohet me vlerat nga detyra e mëparshme.